Mandík RDTM 500x200 .53

Code: RDTM500X200.53
Not rated
€442,36 €365,59 excl. VAT
1-2 weeks
Mandík RDTM 500x200 .53

Detailed information

Product detailed description

Mandík RDTM 500x200 .53

Additional parameters

Category: Mandík RDTM - těsná lamelová regulační klapka do čtyřhranného potrubí
Warranty: 2 years
Weight: 5.2 kg
Version: Čtyřhranná
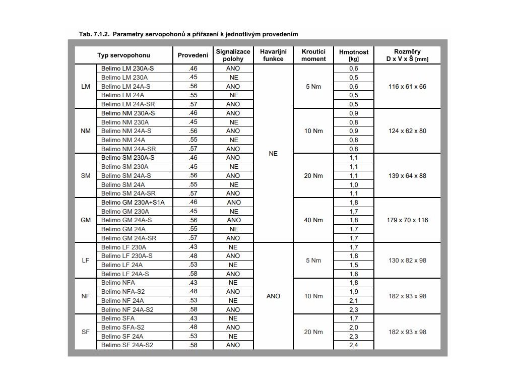
Provedení RDM / RDTM: .53 - servo 24V s hav. funkcí
Variant: Tight
Maximum temperature [°C]: 70
Rozměr klapky [mm]: 500x200

Discussion

Be the first who will post an article to this item!

Do not fill out this field:

Security check

MANDÍK, a.s. je česká rodinná společnost založená r. 1990. V současné době patří mezi významné výrobce vzduchotechnických a protipožárních komponentů, klimatizačních jednotek a průmyslových topných systémů. Na evropském trhu se prosazuje především důrazem na maximální kvalitu, pružnost, flexibilitu a služby spojené s podporou dodávaných výrobků. Současnou technickou vyspělost firmy dokumentují dodávky pro evropská metra, tunely a jaderné elektrárny. Společnost dodržuje pravidla řízení jakosti dle ISO 9001, KTA 1401, 10CFR APP10 a je členem německého sdružení výrobců vzduchotechnických zařízení RLT. Disponuje všemi potřebnými certifikáty dle evropských norem a je vlastníkem certifikátu společnosti TÜV SÜD Industrie Service GmbH dle EN 1886.

Teritoriálně obchod MANDÍK, a.s. pokrývá kromě domácího trhu i mnoho dalších evropských zemí, kde jsou výrobky dodávány ve spolupráci s našimi zahraničními partnery.

Při každodenní činnosti je kladen důraz na ochranu životního prostředí a bezpečnost práce. Dodržování přísných evropských norem v těchto oblastech je pro naši společnost běžným standardem, který je vedením společnosti nekompromisně vyžadován. Na ochraně životního prostředí se naše společnost podílí také provozem vlastních obnovitelných zdrojů energie a co možná nejširším využitím úsporných spotřebičů energie.

Cílem je maximální spokojenost zákazníků a v neposlední řadě vytvoření kvalitního pracovního prostředí pro zaměstnance společnosti.