Mandík RDTM 400x500 .56
Code: RDTM400X500.56Product detailed description
Mandík RDTM 400x500 .56Additional parameters
| Category: | Mandík RDTM - těsná lamelová regulační klapka do čtyřhranného potrubí |
|---|---|
| Warranty: | 2 years |
| Weight: | 7.6 kg |
| Version: | Čtyřhranná |
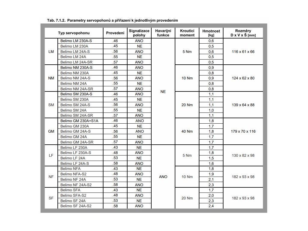
| Provedení RDM / RDTM: | .56 - servo 24V se signalizací 1 polohy |
| Variant: | Tight |
| Maximum temperature [°C]: | 70 |
| Rozměr klapky [mm]: | 400x500 |
Discussion
Be the first who will post an article to this item!
MANDÍK, a.s. je česká rodinná společnost založená r. 1990. V současné době patří mezi významné výrobce vzduchotechnických a protipožárních komponentů, klimatizačních jednotek a průmyslových topných systémů. Na evropském trhu se prosazuje především důrazem na maximální kvalitu, pružnost, flexibilitu a služby spojené s podporou dodávaných výrobků. Současnou technickou vyspělost firmy dokumentují dodávky pro evropská metra, tunely a jaderné elektrárny. Společnost dodržuje pravidla řízení jakosti dle ISO 9001, KTA 1401, 10CFR APP10 a je členem německého sdružení výrobců vzduchotechnických zařízení RLT. Disponuje všemi potřebnými certifikáty dle evropských norem a je vlastníkem certifikátu společnosti TÜV SÜD Industrie Service GmbH dle EN 1886.
Teritoriálně obchod MANDÍK, a.s. pokrývá kromě domácího trhu i mnoho dalších evropských zemí, kde jsou výrobky dodávány ve spolupráci s našimi zahraničními partnery.
Při každodenní činnosti je kladen důraz na ochranu životního prostředí a bezpečnost práce. Dodržování přísných evropských norem v těchto oblastech je pro naši společnost běžným standardem, který je vedením společnosti nekompromisně vyžadován. Na ochraně životního prostředí se naše společnost podílí také provozem vlastních obnovitelných zdrojů energie a co možná nejširším využitím úsporných spotřebičů energie.
Cílem je maximální spokojenost zákazníků a v neposlední řadě vytvoření kvalitního pracovního prostředí pro zaměstnance společnosti.
